SHOX蛋白主要分布在四肢骨骼、心脏、鼻、鳃弓、神经系统和人类胚胎生殖结节的中段和相对远端。SHOX2相对靠近四肢。此外,SHOX2也表达于鼻突中枢神经系统基板、背根神经节、心脏流入道、第三咽弓和衍生结构。SHOX基因主要调节早期胚胎身体结构和心脏自主节律系统的发育。SHOX基因的突变,通常会导致表达缺失,可能导致身材矮小综合征。
SHOX2通过增加RUNX2抑制p53的活性来抑制抗凋亡和激活NF-kB通路,从而导致致癌生物过程的发生。
RASSF1A是Hippo途径的关键调节因子,并将该途径与TNF-α、NF-kB和TGF-β信号传导途径偶联。在炎性细胞因子、P53和K-RAS的协同作用下,RASSF1A的表观遗传性缺失连接了一系列重要的癌症信号通路,并在癌发生和转移中起重要作用。SHOX2由于其与某些微小RNA的复杂关系,可能与Hippo、EMT、RAS/ ERK MAPK和PI3K/AKT通路交互,这些通路对肿瘤发生、转移和肺癌的发生至关重要。
SHOX2能够与TGF受体结合,并与NF-kB通路交互,表明与RASSF1A存在相互调节关系[2]。
SHOX2和RASSF1A甲基化在临床研究中表现出良好的灵敏度和特异性
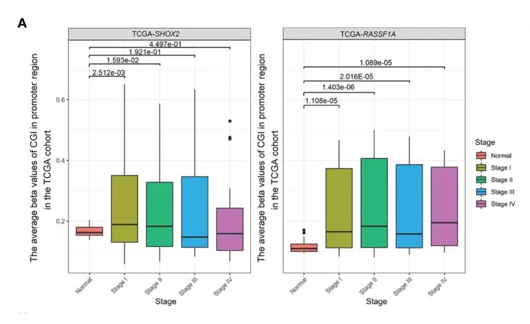
对来自南京鼓楼医院54名早期LUAD患者和31名良性肺结节患者的样品进行联合SHOX2和RASSF1A启动子甲基化测定。结果显示:来自LUAD患者的肿瘤样本SHOX2启动子甲基化检测水平略高于RASSF1A,同时发现SHOX2或者RASSF1A启动子甲基化检测对早期LUAD敏感且特异,但单个基因甲基化检测的诊断效率不高。联合启动子甲基化检测对0期患者的诊断潜力仍不清楚。随着疾病分期从0-II期增加,或者随着LUAD从AIS(原位癌)进展到MIA(微浸润肺腺癌)再到IPA(浸润性腺癌),SHOX2或者RASSF1A启动子甲基化水平逐渐增加。联合甲基化检测呈阳性的患者肿瘤可能发生快速进展,需要积极治疗。此外,对TCGA队列的分析表明SHOX2在第三至第四阶段没有显著上升。这可能表明SHOX2启动子高甲基化是早期LUAD的生物标志物,但不是晚期LUAD的生物标志物[3]。

TCGA队列的I-IV期的正常样品和肿瘤样品之间甲基化比较
同济大学同济医院对251例患者的FFPE切除标本进行SHOX2和RASSF1A甲基化水平检测。其中确诊为肺癌137例,其中腺癌70例,鳞癌51例,小细胞肺癌16例。另114例为良性疾病作为对照。同时对来自肺癌患者的17个穿刺活检标本进行了分析。对于所有样本,分析了与病理学确定的组织学分类和肿瘤分期相关的临床表现。

SHOX2和RASSF1A不同组织学亚型组和肿瘤分期组中的甲基化
在小细胞肺癌、鳞癌、腺癌和总癌中的阳性检出率分别为100.0%、96.1%、82.9%和89.8%。在对照组中,114例良性肺部疾病患者中有11例检测到SHOX2或RASSF1A阳性,特异性为90.4%。单独SHOX2检测SCC的灵敏度为94.1%。结合RASSF1A,腺癌和小细胞肺癌的检出率分别从64.3%和87.5%提高到82.9%和100%。SHOX2仅在l期腺癌中观察到较低的敏感性。研究还发现SHOX2甲基化程度与肺癌的分期相关,由l期到IV期不断加深,而RASSF1A甲基化在肺癌的病例中没有观察到这种相关性。另外17个穿刺活检标本中,高度甲基化的SHOX2或RASSF1A不仅在16例外科手术标本中被检测到,而且在11例组织病理学阴性穿刺活检中也被检测到。显示与病理结果相比,甲基化生物标志物的敏感性更高,可显著提高诊断效率[4]。
目前,常规的病理诊断在很大程度上属于“经验科学”,主观性很强。病理诊断(包括细胞和组织病理学检查)可能会受到标本质量和病理学家诊断水平的严重影响。检测的灵敏度和可重复性需要改进和提高。新兴的分子诊断方法更加敏感和客观,可以克服形态学诊断的固有缺陷。DNA甲基化改变是癌症早期诊断中最有前景的生物标志物之一,已经从科学研究转移到临床应用。许多研究报道了多种DNA甲基化生物标志物,并证实了其在肺癌诊断中的作用。RASSF1A和SHOX2甲基化的联合检测,以其高灵敏度和特异性,可能为肺癌筛查和进展监测提供无与伦比的生物标记物。通过研究进一步了解RASSF1A和SHOX2的生物学功能,并改进其检测方法有助于其在临床实践中更好的发挥作用。这些标志物的应用有望提高肺癌患者筛查的准确性,从而提高肺癌患者5年生存率,并及时指导临床个体化用药。
参考文献:
[1].早期肺癌诊断中国专家共识 (2023年版)
[2].J Cancer Res Clin Oncol. 2020 Jun;146(6):1379-1393
[3]. Front Oncol. 2022 Jun 28;12:849024.
[4].Front Oncol. 2020 Dec 14;10:565780.
文章来源:甲基化